Đề thi TS vào 10 Hóa Phổ thông năng khiếu – Năm học 2022 – 2023
Đề thi TS vào 10 Hóa Phổ thông năng khiếu – Năm học 2022 – 2023
Câu 1 (1,5 đ)
(a) Thép được sản xuất bằng cách luyện trong lò Bessemer, tại đây khi oxi oxi hóa sắt thành oxit sắt, sau đó oxit sắt oxi hóa cacbon, mangan và silic. Viết các phương trình hóa học xảy ra.
(b) Để chuyển hóa gang thành thép, Henry Bessemer (1813-1898) có phát minh quan trọng là nén không khí lạnh qua sắt nóng chảy. Ban đầu nhiều người cho rằng ý tưởng này điên rồ vì không khi lạnh sē làm nguội sắt. Tuy nhiên thực tế hoàn toàn trái ngược. Bạn có thể giải thích thế nào về kết quả này?
(c) Để loại bỏ lưu huỳnh có trong gang, thường cho bột $\mathrm{Mg}$ qua sắt nóng chảy tạo thành hợp chất X, được loại bỏ chung với xĩ. Viết phương trình hóa học tương ựng.
(a) $3 \mathrm{Fe}+2 \mathrm{O}_{2} \stackrel{\mathrm{t}^{\circ}}{\longrightarrow} \mathrm{Fe}_{3} \mathrm{O}_{4}$
$2 \mathrm{C}+\mathrm{Fe}_{3} \mathrm{O}_{4} \stackrel{\mathrm{t}^{\circ}}{\longrightarrow} 2 \mathrm{CO}_{2}+3 \mathrm{Fe}$
$4 \mathrm{Mn}+\mathrm{Fe}_{3} \mathrm{O}_{4} \stackrel{\mathrm{t}^{\circ}}{\longrightarrow} 4 \mathrm{MnO}+3 \mathrm{Fe}$
$2 \mathrm{Si}+\mathrm{Fe}_{3} \mathrm{O}_{4} \stackrel{\mathrm{t}^{\circ}}{\longrightarrow} 2 \mathrm{SiO}_{2}+3 \mathrm{Fe}$
(b) Việc nén không khí lạnh qua sắt nóng chảy có tác dụng oxi hóa, loại bỏ các tạp chất trong gang như Si, Mn, C ở dạng oxit (đi ra với xỉ hoặc thoát ra dưới dạng khí). Quá trình oxi hóa này cũng sinh ra năng lượng dưới dạng nhiệt, giúp tăng nhiệt độ khối sắt, giữ nó nóng chảy.
(c) $\mathrm{Mg}+\mathrm{S} \stackrel{\mathrm{t}^{\circ}}{\longrightarrow} \mathrm{MgS}$
Câu 2 (1,0 đ)
Nung quặng đồng $\left(\mathrm{Cu}_{2} \mathrm{~S}\right)$ trong không khí, một phần quặng tạo thành hợp chất $X$ và khi $Y$. Hợp chất $X$ phản ứng tiếp với phần quặng còn lại tạo thành đồng kim loại và khí $Y$.
(a) Viết các phương trình phản ứng.
(b) Cho biết ứng dụng của khí $Y$ trong công nghiệp? Viết phương trình hóa học minh họa. hóa học.
(c) Cho chất khi $Y$ phản ứng với dung dịch nước vôi trong. Mô tả phản ứng và viết phương trình
(a) $\mathrm{Cu}_{2} \mathrm{~S}+2 \mathrm{O}_{2} \stackrel{\mathrm{t}^{\circ}}{\longrightarrow} 2 \mathrm{CuO}+\mathrm{SO}_{2}$
(X) (Y)
$2 \mathrm{CuO}+\mathrm{Cu}_{2} \mathrm{~S} \stackrel{\mathrm{t}^{\circ}}{\longrightarrow} 4 \mathrm{Cu}+\mathrm{SO}_{2}$
(b) Khí $\mathrm{Y}\left(\mathrm{SO}_{2}\right)$ được sử dụng chủ yếu để sản xuất $\mathrm{H}_{2} \mathrm{SO}_{4}$, ngoài ra còn dùng để tẩy trắng đường, giấy,…
(c) $\mathrm{SO}_{2}+\mathrm{Ca}(\mathrm{OH})_{2} \longrightarrow \mathrm{CaSO}_{3} \downarrow+\mathrm{H}_{2} \mathrm{O}$
$\mathrm{SO}_{2 \text { (excess) }}+\mathrm{CaSO}_{3}+\mathrm{H}_{2} \mathrm{O} \longrightarrow \mathrm{Ca}\left(\mathrm{HSO}_{3}\right)_{2}$ Mô tả: Xuất hiện kết tủa trắng, sau đó khi $\mathrm{SO}_{2}$ dư thì kết tủa tan dần.
Câu 3 (1,0 đ)
(a) Một loại khoáng chất có công thức phân tử $\mathrm{Na}_{2} \mathrm{Fe}_{5}\left(\mathrm{Si}_{4} \mathrm{O}_{11}\right)_{2}(\mathrm{OH})_{2}$. Cho biết trong công thức này có bao nhiêu ion sắt có số oxi hóa + 2 và bao nhiêu ion sắt có số oxi hóa +3?
(b) Cân bằng phương trình phản ứng sau (không dùng hệ số dạng phân số) và cho biết chất nào là chất oxi hóa, chát nào là chất khử?
$$
\mathrm{K}_{2} \mathrm{Cr}_{2} \mathrm{O}_{7}+\mathrm{HI}+\mathrm{HClO}_{4} \rightarrow \mathrm{KClO}_{4}+\mathrm{Cr}\left(\mathrm{ClO}_{4}\right)_{3}+\mathrm{I}_{2}+\mathrm{H}_{2} \mathrm{O}
$$
Đặt số ion $\mathrm{Fe}$ có số $\mathrm{OXH}+2=\mathrm{a}$, số ion $\mathrm{Fe}$ có số $\mathrm{OXH}+3=\mathrm{b}$.
Từ công thức phân tử $\mathrm{Na}_{2} \mathrm{Fe}_{5}\left(\mathrm{Si}_{4} \mathrm{O}_{11}\right)_{2}(\mathrm{OH})_{2}$ ta có $\mathrm{HPT}$ sau:
$\left\{\begin{array}{l}2 \mathrm{Na}+2 \mathrm{a}+3 \mathrm{~b}+8 \mathrm{Si}+22 \mathrm{O}+2(\mathrm{OH})=0 \\ \mathrm{a}+\mathrm{b}=5\end{array}\right.$
$\Leftrightarrow\left\{\begin{array}{l}2.1+2 a+3 b+8.4+22(-2)+2(-1)=0 \\ a+b=5\end{array}\right.$
$\Leftrightarrow\left\{\begin{array}{l}a=3 \\ b=2\end{array}\right.$
Vậy có 3 ion Fe có số $\mathrm{OXH}+2$ và 2 ion Fe có số $\mathrm{OXH}+3$.
(b) $\mathrm{K}_{2} \mathrm{Cr}_{2} \mathrm{O}_{7}+\mathrm{HI}+\mathrm{HClO}_{4} \longrightarrow \mathrm{KClO}_{4}+\mathrm{Cr}\left(\mathrm{ClO}_{4}\right)_{3}+\mathrm{I}_{2}+\mathrm{H}_{2} \mathrm{O}$
Chất $\mathrm{OXH}$ : $\mathrm{K}_{2} \mathrm{Cr}_{2} \mathrm{O}_{7}$, chất khử: $\mathrm{HI}$, môi trường: $\mathrm{HClO}_{4}\left(\mathrm{H}^{+}\right)$
Cân bằng:
C1: Thăng bằng electron.
B1: Viết quá trình nhường – nhận electron:
$$
\begin{aligned}
& 2 \mathrm{Cr}^{+6}+6 \mathrm{e}^{-} \longrightarrow 2 \mathrm{Cr}^{+3} \\
& 2 \mathrm{I}^{-1} \longrightarrow \mathrm{I}_{2}+2 \mathrm{e}^{-}
\end{aligned} \mid \begin{aligned}
& \mathrm{x} 1 \\
& \mathrm{x} 3
\end{aligned}
$$
B2: Điền hệ số cho các tác nhân oxh-k:
$$
\mathrm{K}_{2} \mathrm{Cr}_{2} \mathrm{O}_{7}+6 \mathrm{HI}+\mathrm{HClO}_{4} \longrightarrow 2 \mathrm{KClO}_{4}+2 \mathrm{Cr}\left(\mathrm{ClO}_{4}\right)_{3}+3 \mathrm{I}_{2}+\mathrm{H}_{2} \mathrm{O}
$$
B3: Điền hệ số cho môi trường – kiểm tra (bằng cách đếm số nguyên tử $\mathrm{O} 2$ bên $\mathrm{PT}$ ) và hoàn thành PT:
$$
\mathrm{K}_{2} \mathrm{Cr}_{2} \mathrm{O}_{7}+6 \mathrm{HI}+8 \mathrm{HClO}_{4} \longrightarrow 2 \mathrm{KClO}_{4}+2 \mathrm{Cr}\left(\mathrm{ClO}_{4}\right)_{3}+3 \mathrm{I}_{2}+7 \mathrm{H}_{2} \mathrm{O}
$$
C2: Thăng bằng ion-electron:
$$
\mathrm{K}_{2} \mathrm{Cr}_{2} \mathrm{O}_{7}+8 \mathrm{HClO}_{4} \longrightarrow 2 \mathrm{KClO}_{4}+2 \mathrm{Cr}\left(\mathrm{ClO}_{4}\right)_{3}
$$
(trước tiên cân bằng nguyên tử $\mathrm{K}, \mathrm{Cr}$, ion $\mathrm{ClO}_{4}{ }^{-}$ở 2 vế)
$$
\mathrm{K}_{2} \mathrm{Cr}_{2} \mathrm{O}_{7}+8 \mathrm{HClO}_{4} \longrightarrow 2 \mathrm{KClO}_{4}+2 \mathrm{Cr}\left(\mathrm{ClO}_{4}\right)_{3}+7 \mathrm{H}_{2} \mathrm{O}
$$
(thêm $\mathrm{H}_{2} \mathrm{O}$ để cân bằng $\mathrm{O}$ )
$$
\mathrm{K}_{2} \mathrm{Cr}_{2} \mathrm{O}_{7}+8 \mathrm{HClO}_{4}+6 \mathrm{H}^{+}+6 \mathrm{e}^{-} \longrightarrow 2 \mathrm{KClO}_{4}+2 \mathrm{Cr}\left(\mathrm{ClO}_{4}\right)_{3}+7 \mathrm{H}_{2} \mathrm{O} \text { (1) }
$$
(thêm $\mathrm{H}^{+}$để cân bằng $\mathrm{H}$ và thêm $\mathrm{e}^{-}$để cân bằng điện tích)
Tương tự: $2 \mathrm{HI} \longrightarrow \mathrm{I}_{2}+2 \mathrm{H}^{+}+2 \mathrm{e}^{-}$(2)
Lấy (1) + (2)x3, loại trừ những yếu tố giống nhau ở 2 vế PT, ta có:
$$
\mathrm{K}_{2} \mathrm{Cr}_{2} \mathrm{O}_{7}+6 \mathrm{HI}+8 \mathrm{HClO}_{4} \longrightarrow 2 \mathrm{KClO}_{4}+2 \mathrm{Cr}\left(\mathrm{ClO}_{4}\right)_{3}+3 \mathrm{I}_{2}+7 \mathrm{H}_{2} \mathrm{O}
$$
Câu 4 (1,5 đ)
Quá trình nung một muối hiđrrat ở các nhiệt độ khác nhau và phần trăm khối lượng chất rắn còn lại so với khối lượng ban đầu $(100.00 \%)$ được cho trong sơ đồ sau:
$$
\begin{aligned}
& X . \mathrm{nH}_{2} \mathrm{O} \underset{-\mathrm{nH}_{2} \mathrm{O}}{\stackrel{170^{\circ} \mathrm{C}}{\mathrm{O}}} \times \underset{-\mathrm{Y}}{\stackrel{520^{\circ} \mathrm{C}}{\longrightarrow}} Z \underset{-\mathrm{T}}{\stackrel{700^{\circ} \mathrm{C}}{\longrightarrow}} \mathrm{MO} \\
& 100,00 \% \quad 87,67 \% \quad 68,49 \% \quad 38,36 \%
\end{aligned}
$$
Cho biết $\mathrm{MO}$ là một oxit của kim loại $\mathrm{M}$, trong đóo $\mathrm{M}$ chiếm $71,43 \%$ khối lương. $\mathrm{Y}$ và $\mathrm{T}$ là các chất khí. $Y$ cháy trong không khí tạo thành $T$. Xác định công thức phân tử của các chất trong sơ đồ trên.
$\% \mathrm{O}=28,57 \% \Rightarrow \mathrm{M}_{\mathrm{MO}}=\mathrm{M}+16=\frac{16.100}{28,57} \approx 56 \Rightarrow \mathrm{M}=40(\mathrm{Ca})$
$$
\left\{\begin{array}{l}
\mathrm{M}_{\mathrm{X}} \approx 128 \mathrm{~g} / \mathrm{mol} \Rightarrow \mathrm{n}=\frac{146-128}{18}=1 \\
\mathrm{M}_{\mathrm{Z}} \approx 100 \mathrm{~g} / \mathrm{mol} \Rightarrow\left\{\begin{array}{l}
\mathrm{M}_{\mathrm{Y}}=\mathrm{M}_{\mathrm{X}}-\mathrm{M}_{\mathrm{Z}}=28 \mathrm{~g} / \mathrm{mol} \\
\mathrm{M}_{\mathrm{T}}=\mathrm{M}_{\mathrm{Z}}-\mathrm{M}_{\mathrm{MO}}=44 \mathrm{~g} / \mathrm{mol}
\end{array}\right.
\end{array}\right.
$$
Y cháy trong không khí tạo thành $\mathrm{T}$, mà $\mathrm{M}_{\mathrm{T}}-\mathrm{M}_{\mathrm{Y}}=16$ nên $\mathrm{Y}$ sẽ kết hợp với 1 nguyên tử $\mathrm{O}$ tạo thành $\mathrm{T}$. Đặt công thức $\mathrm{Y}$ : $\mathrm{AO}, \mathrm{T}$ : $\mathrm{AO}_{2}$, dễ dàng tính ra $\mathrm{A}=12(\mathrm{C})$.
Vậy Y: CO, T: $\mathrm{CO}_{2}$.
Phản ứng nhiệt phân $\mathrm{Z}$ tạo thành $\mathrm{CaO}$, giải phóng $\mathrm{CO}_{2}, \mathrm{M}_{\mathrm{Z}}=100 \mathrm{~g} / \mathrm{mol}=>\mathrm{Z}: \mathrm{CaCO}_{3}$. Phản ứng nhiệt phân $\mathrm{X}$ tạo thành $\mathrm{CaCO}_{3}$, giải phóng $\mathrm{CO}, \mathrm{MX}_{\mathrm{X}}=128 \mathrm{~g} / \mathrm{mol}=>\mathrm{X}: \mathrm{CaC}_{2} \mathrm{O}_{4}$. $\Rightarrow$ Chất ban đầu: $\mathrm{CaC}_{2} \mathrm{O}_{4} \cdot \mathrm{H}_{2} \mathrm{O}$.
Câu 5 (1,0 đ)
Cần sử dụng bao nhiêu gam dung dịch $\mathrm{CuSO}_{4}$ bão hòa ở $90^{\circ} \mathrm{C}$, sau khi làm nguọi xuống $25^{\circ} \mathrm{C}$ để thu được $10,0 \mathrm{gam}$ tinh thể $\mathrm{CuSO}_{4} \cdot 5 \mathrm{H}_{2} \mathrm{O}$. Cho biết dung dịch $\mathrm{CuSO}_{4}$ băo hòa ở $90^{\circ} \mathrm{C}$ có nồng độ $38,5 \%$ và ở $25^{\circ} \mathrm{C}$ có nồng độ $18,7 \%$.
Gọi khối lượng dung dịch cần tìm là m (g).
$\Rightarrow \mathrm{m}_{\left.\mathrm{ct(CuSO}_{4}\right)-90^{\circ} \mathrm{C}}=\frac{38,5 \mathrm{~m}}{100}=0,385 \mathrm{~m}(\mathrm{~g})$
$\mathrm{m}_{\mathrm{dd}-25^{\circ} \mathrm{C}}=\mathrm{m}-10(\mathrm{~g})$
$\mathrm{m}_{\mathrm{ct(}\left(\mathrm{CuSO}_{4}\right)-25^{\circ} \mathrm{C}}=0,385 \mathrm{~m}-\frac{10}{250} \cdot 160=0,385 \mathrm{~m}-6,4(\mathrm{~g})$
$\Rightarrow \mathrm{C} \%_{25^{\circ} \mathrm{C}}=\frac{0,385 \mathrm{~m}-6,4}{\mathrm{~m}-10}=\frac{18,7}{100} \Leftrightarrow \mathrm{m}=\frac{755}{33}(g) \approx 22,88(\mathrm{~g})$
Câu 6 (1,0 đ)
Viết các công thức cấu tạo của hợp chất hữu cơ có công thức phân tử $\mathrm{C}_{3} \mathrm{H}_{8} \mathrm{O}$. Cho biết công thức cấu tạo của chầt có
(a) Có nhiệt độ sôi thấp nhất.
(b) Tan được trong nước.
(c) Phản ứng được với $\mathrm{Na}(\mathrm{r})$.
$k=\frac{2 C+2-H}{2}=\frac{2.3+2-8}{2}=0 \Rightarrow$ No, đơn chức, mạch hở.
(a)

(b) và $(\mathrm{c})$

Câu 7 (1,0 đ)
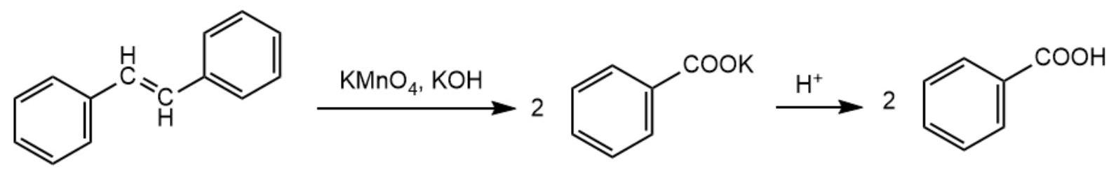
Axit axetic có thể được điều chế từ phản ứng sau:
$$
\mathrm{CH}_{3} \mathrm{CH}=\mathrm{CHCH}_{3} \stackrel{\mathrm{KMnO}_{4}, \mathrm{KOH}}{\longrightarrow} 2 \mathrm{CH}_{3} \mathrm{COOK} \stackrel{\mathrm{H}^{+}}{\rightarrow} 2 \mathrm{CH}_{3} \mathrm{COOH}
$$
(a) Tiến hành phản ứng tương tự như trên, từ hợp chất $\mathrm{A}$ thu được axit benzoic $\mathrm{C}_{6} \mathrm{H}_{5} \mathrm{COOH}$, từ hơp chất $\mathbf{B}$ thu được axit adipic $\mathrm{HOOC}\left(\mathrm{CH}_{2}\right)_{4} \mathrm{COOH}$. Xác định công thức cấu tạo của hợp chất $\mathbf{A}$ và $\mathbf{B}$.
(b) Hợp chất $\mathrm{C}$ cho phản ứng tương tự như trên thu được axit $\mathrm{D} .0,74 \mathrm{~g} \mathrm{D}$ phản ứng vừa đủ với $12,5 \mathrm{~mL}$ dung dịch $\mathrm{NaOH}$ 0,80 M. Xác định công thức cấu tạo của $\mathbf{C}$ và $\mathbf{D}$.
Khái quát hóa: $\mathrm{R}-\mathrm{CH}=\mathrm{CH}-\mathrm{R} \stackrel{\mathrm{KMnO}_{4}, \mathrm{KOH}}{\longrightarrow} 2 \mathrm{RCOOK} \stackrel{\mathrm{H}^{+}}{\longrightarrow} 2 \mathrm{RCOOH}$
a.

(A)

(B)
b. $\mathrm{n}_{\mathrm{NaOH}}=0,01 \mathrm{~mol}$
TH1: D là axit đơn chức, mạch hở. Đặt CT D: RCOOH
$\Rightarrow R+45=\frac{0,74}{0,01}=74 \mathrm{~g} / \mathrm{mol} \Rightarrow \mathrm{R}=29\left(\mathrm{C}_{2} \mathrm{H}_{5}-\right)$
$\Rightarrow \mathrm{C}: \mathrm{C}_{2} \mathrm{H}_{5}-\mathrm{CH}=\mathrm{CH}-\mathrm{C}_{2} \mathrm{H}_{5}, \mathrm{D}: \mathrm{C}_{2} \mathrm{H}_{5} \mathrm{COOH}$
TH2: D là axit hai chức, mạch hở. Đặt CT D: HOOC-R-COOH.
Tương tự, ta giải ra $\mathrm{R}=58$ (vô nghiệm).
Câu 8 (2,0 đ)
Khí tự nhiên đi từ nguồn đá phiến chứa chủ yếu metan $\left(\mathrm{CH}_{4}\right)$, được coi như nguồn nhiên liệu sạch và hiệu quả hơn so với hiđrocacbon từ dầu khí (tiêu biểu là xăng dầu, octan $\mathrm{C}_{8} \mathrm{H}_{18}$ ) hoặc than đả (giả thiết than đá chỉ chứa cacbon).
(a) Viết các phương trình phản ứng cháy của metan, octan hoặc than đá trong lượng dư không khi.
(b) Tinh thể tích khi $\mathrm{CO}_{2}$ tạo thành (đktc) khi đốt cháy $1 \mathrm{~kg}$ metan, $1 \mathrm{~kg}$ octan hoặc $1 \mathrm{~kg}$ than đá. Tinh thành phần \% khối lượng của cacbon trong metan và octan. So sánh và nhận xét.
(c) So sánh thẻ̉ tích khi $\mathrm{CO}_{2}$ tạo thành (chỉ lập luận chứ không cần tính thể tích khi $\mathrm{CO}_{2}$ ) khi đốt cháy $1 \mathrm{~kg}$ dầu kerosen (hổn hợp tự $\mathrm{C}_{10} \mathrm{H}_{22}-\mathrm{C}_{16} \mathrm{H}_{34}$ ), $1 \mathrm{~kg}$ dầu diesel (hổn hợp từ $\mathrm{C}_{12} \mathrm{H}_{26}-\mathrm{C}_{20} \mathrm{H}_{42}$ ) so với đốt cháy cūng $1 \mathrm{~kg}$ của từng chất metan, octan và than đá. Giải thich.
(d) Tính lượng nhiệt tỏa ra khi đốt cháy $1 \mathrm{~kg}$ metan, $1 \mathrm{~kg}$ octan, hoặc $1 \mathrm{~kg}$ than đá. Nhận xét. Cho biết khi đốt cháy 1 mol metan, octan và cacbon tạo thành lượng nhiệt tương ứng là 890,3;5470,6 và $393,5 \mathrm{~kJ}$.
(a) $\mathrm{CH}_{4}+2 \mathrm{O}_{2} \stackrel{\mathrm{t}^{\circ}}{\longrightarrow} \mathrm{CO}_{2}+2 \mathrm{H}_{2} \mathrm{O}(1)$
$$
\begin{aligned}
& 2 \mathrm{C}_{8} \mathrm{H}_{18}+25 \mathrm{O}_{2} \stackrel{\mathrm{t}^{\circ}}{\longrightarrow} 16 \mathrm{CO}_{2}+18 \mathrm{H}_{2} \mathrm{O}(2) \\
& \mathrm{C}+\mathrm{O}_{2} \stackrel{\mathrm{t}^{\circ}}{\longrightarrow} \mathrm{CO}_{2}(3)
\end{aligned}
$$
(b) $\mathrm{n}_{\mathrm{CO}_{2}(1)}=\mathrm{n}_{\mathrm{CH}_{4}}=\frac{1.1000}{16}=62,5 \mathrm{~mol} \Rightarrow \mathrm{V}_{\mathrm{CO}_{2}(1)}=1400(\mathrm{~L})=1,4 \mathrm{~m}^{3}$
$$
\begin{aligned}
& \mathrm{n}_{\mathrm{CO}_{2}(2)}=8 \mathrm{n}_{\mathrm{C}_{8} \mathrm{H}_{18}}=\frac{8 \cdot 1 \cdot 1000}{114}=\frac{4000}{57} \mathrm{~mol} \Rightarrow \mathrm{V}_{\mathrm{CO}_{2}(2)}=\frac{89600}{57}(\mathrm{~L}) \approx 1,572 \mathrm{~m}^{3} \\
& \mathrm{n}_{\mathrm{CO}_{2}(3)}=\mathrm{n}_{\mathrm{C}}=\frac{1.1000}{12}=\frac{250}{3} \mathrm{~mol} \Rightarrow \mathrm{V}_{\mathrm{CO}_{2}(3)}=\frac{5600}{3}(\mathrm{~L}) \approx 1,867 \mathrm{~m}^{3}
\end{aligned}
$$
(c) Lớn hơn. Vì cùng một khối lượng, lượng mol $\mathrm{CO}_{2}$ tạo thành sẽ gấp từ 10 – 20 lần lượng mol chất ban đầu, so với chỉ từ 1 – 8 lần của metan, octan, than đá.
(d) 1 mol metan cháy tỏa ra 890,3kJ => 62,5 mol (1 kg) metan cháy tỏa ra 55643,75kJ nhiệt lượng.
Tương tự: $\frac{4000}{57}$ mol octan cháy tỏa ra 383901,7544 kJ nhiệt lượng.
$$
\frac{250}{3} \text { mol cacbon cháy tỏa ra 32791,67 kJ nhiệt lượng. }
$$
Nhận xét: Các chất này khi cháy đều tỏa ra lượng nhiệt khá lớn, vậy nên được ứng dụng làm chất đốt khá phổ biến.